행렬식은 행렬에서 굉장히 많이 쓰이기 때문에 알아놓아야할 필요가 있다.
나는 벡터의 외적 공식에서 이를 발견해서 복습 겸 다시 기록하고 있다.

직접 적어보았다.
행렬식을 가장 많이 쓰는 곳 중 하나가 역행렬을 구할 때이다.
위의 행렬 A에서 ad - bc = 0 , 즉, 행렬식이 0이 아닐때 역행렬이 존재하며
그 정의는 다음과 같다.

그리고 역행렬은 다음과 같은 성질을 가진다.


수식이 조금 복잡해보일 수 있는데,
a11로 시작하는 항은 나머지 a12 a13 밑의 애들로 행렬식을 구성한 것이고,
a12로 시작하는 항은 나머지 a11 a13 밑의 애들로 행렬식을 구성,
a13도 나머지 a11 a12 밑의 애들로 행렬식을 구성한 것이다.
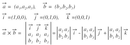
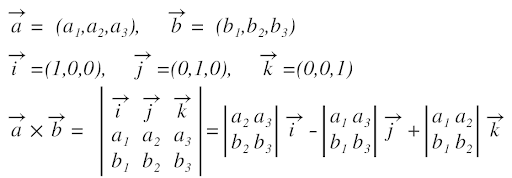
이것이 벡터의 외적에서 그대로 사용된다.

| 각도와 단위 (60분법 vs 호도법) (2) | 2024.02.01 |
|---|---|
| 유니티 UnlitShader 코드 분석(렌더링 파이프라인 기반) (1) | 2024.01.31 |
| [유니티 그래픽스] Vertex 직접 찍어서 Quad 그리기 (0) | 2024.01.26 |
| 벡터의 내적과 외적 (0) | 2024.01.26 |
| 벡터공간(Vector Space)과 어파인공간(Affine Space) (0) | 2024.01.19 |